Between 1011lbs and 1367lbs If I am 5ft 2in and weigh 90 lbs, is that a good weight for my height?1646 BMI, Underweight What is the ideal weight for a 5'6" female?CDC Definitions for BMI (Body Mass Index) BMI Calculator Body Mass Index (BMI) Table for Adults Body Mass Index (BMI) Charts 045 000 045 5600 10 000 ' 10 3400 4'8" 142 254 1000 0 cm 4'8" 142cm 3743 53 1850 0 9814 0 2500 0 144 2700 0 133
Cancers Free Full Text Correlation Of Body Mass Index With Oncologic Outcomes In Colorectal Cancer Patients A Large Population Based Study Html
Bmi 166
Bmi 166-BMI 165 kg/m² => Underweight (from 16 to 1849) 165 BMI compared to normal minimum 2 kg/m² under This BMI compared to normal maximum 85 kg/m² under BMI values for adults with average muscle mass CategoryThe program calculates a person's BMI from the weight and height supplied using the user's input However, after I enter 'metric' or 'imperial' and press enter, the program closes The first three



Nomogram The Variables And The Scores Bmi Body Mass Index H Q Download Scientific Diagram
Research Hospitalization Volume, DRGs, Quality Outcomes, Top Hospitals & Physicians for Z66 Body mass index (BMI) , adult ICD 10 Diagnosis Code The median value of antimullerian hormone (AMH) was highest in phenotype A (1168 ng/ml 794–1646) and significantly more in comparison to B phenotype (Kruskal–Wallis, p=018) Thus there is heterogeneity in AMH levels and BMI in different PCOS phenotypes with higher levels in the most severe phenotypesA multilevel growth model was used to estimate growth in mean BMI, overweight prevalence, and obesity prevalence during each summer and each school year Results From the fall of kindergarten to the spring of second grade, the prevalence of obesity increased Mean BMI 1646*** (1641 to 1651) 002*** (001 to 002) 007*** (005 to 009) 0
Body Mass Index, or BMI, is used to estimate if a person is overweight or underweight It is calculated the same way for men and women These are the generally accepted classifications Underweight less than 185; BMI는 1646입니다만, 야마다 유도 살이 너무 빠지지 않고 모델로서 아름답다고 생각합니다 하지만요즘 점점 살이 빠지고 있죠 이젠 좀 안쓰럽게 보이던데 18위 마스와카 츠바사 150cm 37Kg 1644Mean BMI 259 ± 39 kg/m2) with patellofemoral pain syndrome were included The patients were randomized into groups of hipandknee exercises and kneeonly exercise programs for 6 weeks with a total of 30 sessions at the clinic
For example, , would be entered as 10/5/07 The childs age must be less than years The BMI calculations contained in this spreadsheet are not meant to be used with adults years of age and older 13 The spreadsheet is designed to calculate BMIforage percentiles for up to 2,000 children Summary of Children's BMIforAge 7Research Hospitalization Volume, DRGs, Quality Outcomes, Top Hospitals & Physicians for Z6842 Body mass index (BMI) , adult ICD 10 Diagnosis CodeSpeak with your doctor What's the BMI for a person who is 5 feet 4 inches tall and weighs 122lbs How



Translational Medicine Biomedcentral Com Track Pdf 10 1186 S 019 9 Pdf



Overweight And Obesity In 4 5 Year Old Children In New Zealand Results From The First 4 Years 09 12 Of The B4school Check Programme Rajput 15 Journal Of Paediatrics And Child Health Wiley Online Library
Body mass index (BMI) is a person's weight in kilograms divided by the square of the body's height in meters It indicates whether the weight is appropriate for the person's height BMI is the most inexpensive screening tool to measure obesity Although it does not directly measure body fat, it can be correlated with more direct measures The previous trading day's last sale of BMI was $9337, representing a 1646% decrease from the 52 week high of $ and a 5685% increase over the 52 week low of $5953Going beyond BMI does not simply mean to replace BMI by assessing individual body components This is also because adjusting weight by stature squared is likely to yield different outcomes for different organs and tissues 42 With the notable exception of the brain, many components of the human body indeed scale to height with a power close to 2, but bone and mineral mass, for



Scielo Brasil Body Mass Index Reference Charts For Individuals With Down Syndrome Aged 2 18 Years Sup Sup Body Mass Index Reference Charts For Individuals With Down Syndrome Aged 2 18 Years Sup Sup



Arsenic And Obesity A Review Of Causation And Interaction Springerlink
One way to compare inschool and outofschool influences is with a seasonal design that compares growth in body mass index (BMI) when children are in school during the academic year and when school is out for summer vacation If BMI grows fastest during the school year, then school environments would appear to be the major cause of obesityMaterials and methods Fiftyfive young female patients (mean age 341 ± 62 years;Here we answer questions like Reduce 16/46 to lowest terms or how to simplify/reduce this fraction 16/46?



A Walk In The Park Models Of Bmi With Green Space Density And Footpaths Research Square



Cancers Free Full Text Correlation Of Body Mass Index With Oncologic Outcomes In Colorectal Cancer Patients A Large Population Based Study Html
BMI was 1646 kg/m 2 Inguinal and femoral hernias were not found on light or deep palpation Rectal examination revealed no frank blood, fissures, or palpable massesHere are the BMI standards as set by the World Heath Organization BMI Category < 185 Underweight 185 25 Healthy Weight 25 30 Overweight > 30 Obese In the United States, the average BMI for adults is 2 BMI Formula94 Pipe Fittings MALLEABLE IRON CLASS 150 (STANDARD) Extension Piece Figure 1137 *POA Size A Weight (lbs) (NPS) (in) black galv 3/8 15/16 10* 10* 1/2 15/8 14 16



Body Mass Index Of Saudi Children Ages Six To 16 Years From The Eastern Province Annals Of Saudi Medicine



Endothelial Dysfunction As A Long Term Effect Of Late Onset Hypertensive Pregnancy Disorders High Bmi Is Key European Journal Of Obstetrics And Gynecology And Reproductive Biology
Between 1146lbs and 1549lbs If I am 5ft 6in and weigh 102 lbs, is that a good weight for my height?The median value of antimullerian hormone (AMH) was highest in phenotype A (1168 ng/ml ) and significantly more in comparison to B phenotype (KruskalWallis, p =018) Thus there is heterogeneity in AMH levels and BMI in different PCOS phenotypes with higher levels in the most severe phenotypesBMI is calculated the same for a man or woman From the CDC "At an individual level, BMI can be used as a screening tool but is not diagnostic of the body fatness or the health of an individual BMI appears to be strongly correlated with various adverse health outcomes consistent with these more direct measures of body fatness"



Acne And Obesity A Nationwide Study Of 600 404 Adolescents Sciencedirect



Cancers Free Full Text Correlation Of Body Mass Index With Oncologic Outcomes In Colorectal Cancer Patients A Large Population Based Study Html
Historical price to book ratio values for Badger Meter (BMI) over the last 10 years The current price to book ratio for Badger Meter as of is 7 Please refer to the Stock Price Adjustment Guide for more information on our historical pricesWhat is the BMI for a 5'2" and 90 lbs male?HARD METRIC EIGHTS DIMENSIONS 2 OF 3 HARD METRIC RECTANGLES Wall Thickness (MM) Weight per Foot (LBS) TUBE SIZE (MM) 2 25 3 4 5 6 63 8 10 12 125 16



Overweight Obesity Risks And Prevalence Of Diabetes And Hypertension In North Eastern India An Analysis Using Seemingly Unrelated Probit Model Clinical Epidemiology And Global Health



Www Pediatricnursing Org Article S08 5963 15 004 3 Pdf
Pete Pfitzinger, 1984 and 19;Ce bw ww yw mm m&g mce mcw uddr teat sc cw fat rea marb bmi$ cez$ bii$ chb$ 84 07 48 81 37 61 53 94 116 122 15 64 0028 025 056 29 25 24Current and historical p/e ratio for Badger Meter (BMI) from 06 to 21 The price to earnings ratio is calculated by taking the latest closing price and dividing it by the most recent earnings per share (EPS) number The PE ratio is a simple way to assess whether a stock is over or under valued and is the most widely used valuation measure



Interaction Between Maternal Prepregnancy Body Mass Index And Gestational Weight Gain Shapes Infant Growth Academic Pediatrics



Www Nature Com Articles Ejcn108 Pdf Origin Ppub
These percentiles are based on the growth charts published by the Centers for Disease Control and Prevention (CDC) Codes Z68 Body mass index BMI Z681 Body mass index BMI 199 or less, adult Z6 Body mass index BMI 29, adult Z60 Body mass index BMI 09, adult Z61 Body mass index BMI , adult Changes in fat cell size and fat cell number in the LCDgroup compared to the VLCDgroup Time Frame at baseline, at 5, 9, 12, 16, 46 and 53 weeks Changes in fat cell size and fat cell number in relation to weight regain after weight loss Time Frame at baseline, at 5, 9, 12, 16, 46 and 53 weeksCDC 00 reference Data Sheet1 Age L M S Increment Age error MALE FEMALE zscore BMI percentile Age in months Sex error lower SD upper SD zscore flag error Ht cm



Body Mass Index And Hormone Receptor Status Influence Recurrence Risk In Her2 Positive Early Breast Cancer Patients Clinical Breast Cancer



Endothelial Dysfunction As A Long Term Effect Of Late Onset Hypertensive Pregnancy Disorders High Bmi Is Key European Journal Of Obstetrics And Gynecology And Reproductive Biology
BMI is calculated the same for a man or a woman Am I overweight? Anonymous It's not low BMI that makes you lose your period, it's low body fat A woman can have a BMI of 145 and still have her period, but that's because they're skinny fat Women lose their period somewhere at 18>% body fatSpeak with your doctor What's the BMI for a person who is 5 feet 0 inches tall and weighs 108lbs How



Europepmc Org Articles Pmc Bin Nihms 150



Obesity In America Springerlink
Percent BMI >= 95th Percentile Screened for BMI BMI < 5th Percentile BMI 5th to < 85th Percentile Percent BMI 85th to < 95th Percentile Percent BMI >= 95th Percentile Percent 5,125 104 3,038 981 1914% 1,002 4,074 67 2,300 5646% 764 1875% 1,005 2467% 7,628 240 5,328 1,079 1415% 981 6,538 145 4,3 6702% 1,076 1646% 1,113 1702%The average ISS was 2187 (range, 166) and the average BMI was 2515 kg/m2 (range, 1646 kg/m2) The overall mortality for the population was 9% The population was grouped according to BMI average (less than 27 kg/m2), overweight (2731Under the BMI classification, 90 lbs is classed as being



Jcdr Attitude Health Knowledge Information Literacy Over Nutrition Practice Vital Statistics



Trends In Measures Of Childhood Obesity In Korea From 1998 To 12 Topic Of Research Paper In Health Sciences Download Scholarly Article Pdf And Read For Free On Cyberleninka Open Science Hub
Between 1146lbs and 1549lbs What is the ideal weight for a 5'6" male?Culture II is the third studio album by American hip hop trio MigosIt was released on , by Capitol Records, Motown and Quality Control Music Culture II is a double album consisting of 24 tracks, and features guest appearances from 21 Savage, Drake, Gucci Mane, Travis Scott, Ty Dolla Sign, Big Sean, Nicki Minaj, Cardi B, Post Malone and 2 Chainz Other twotime top3 finishers in the Marathon Trials, and thus among the best US marathoners of the last 40 years Kenny Moore, 1968 and 1972;



Translational Medicine Biomedcentral Com Track Pdf 10 1186 S 019 9 Pdf



Bmcpublichealth Biomedcentral Com Track Pdf 10 1186 S128 018 6230 Y Pdf
BMI is a very rough measurement Normally, a BMI over 25 is considered overweight However, BMI only considers height and weight, not overall health Am I at a healthy weight?Body Mass Index is a very simplistic method of determining whether a person is overweight It does not taken into account a person's frame, gender, or muscularity Furthermore, at least one study has suggested that slightly overweight people may live longer than people in the "normal" rangeDescription Additional information iPro Holecutter The new iPRO is much lighter and easier to use Designed and manufactured by BMS, Suitable for both USGA and Push up Clay Greens, inside or outside cutting blade options Blade guaranteed when used with the BMS docking station ( BMS iPro Docking Station) Demonstrations can be requested



Impact Of Immigration On Body Mass Index And Blood Pressure Among Adolescent Males And Females Hypertension



Www Jstor Org Stable 10 5951 Teacchilmath 22 7 0442
BMI = 1646 Body Mass Index, or BMI, is used to estimate if a person is overweight or underweight It is calculated the same way for men and women These are the generally accepted classifications Underweight less than 185; A popular way to calculate your weight, BMI takes into account your weight in relation to your height The formula includes 1393–1646Read details below and use our calculator to learn more on how to reduce or simplify fractions



Development Of Lms And Z Score Growth References For Egyptian Children From Birth Up To 5 Years Abstract Europe Pmc



Obesity In America Springerlink
Published 1646 UK airline bmi has consolidated a series of IT outsourcing contracts in a novel arrangement where supplier The mean BMI was 464 kg/m2 The initial mean antifactor Xa level (measured after the third dose) was 034 IU/mL (range 0–059) The1646 BMI, Underweight What is the ideal weight for a 5'2" female?



Left Ventricular Mass Index And Ventricular Contractility Improvement In Patients With Severe Obesity Following Rapid Weight Loss After Bariatric Surgery Surgery For Obesity And Related Diseases



Www Ahajournals Org Doi Pdf 10 1161 Jaha 119
Between 1011lbs and 1367lbs What is the ideal weight for a 5'2" male?BMI is a very rough measurement Normally, a BMI over 25 is considered overweight However, BMI only considers height and weight, not overall health Am I at a healthy weight?BMI is calculated the same for a man or a woman Am I overweight?



Scielo Brasil Body Mass Index Reference Charts For Individuals With Down Syndrome Aged 2 18 Years Sup Sup Body Mass Index Reference Charts For Individuals With Down Syndrome Aged 2 18 Years Sup Sup



Pdf Body Mass Index Reference Curves For The Population With Down Syndrome Between 2 And 18 Years Of Age
Perhaps I am being unfair I know only that in many news articles and books, weight is treated as proof of illness,BMI = 1646 Note BMI is the same for men and women Am I Overweight?221 Body mass index (BMI) Body height was measured to the nearest 05 cm according to the standard procedure, with the children standing upright without shoes, with hips and shoulders perpendicular to the central axis, feet and knees together, and the head in the Frankfurt plane Body weight was measured to the



Mortality And Disability The Effect Of Overweight And Obesity Document Gale Academic Onefile



The Protein S100a4 As A Novel Marker Of Insulin Resistance In Prepubertal And Pubertal Children With Obesity Metabolism Clinical And Experimental
22F 23F 24F 25F 26F 33F 3072F 3060F 3061F 3062F 3066F 4010F 3044F 3051F 3052F 3046F Most recent hemoglobin A1c level >9% (Non compliant) 3074F 3075F 3077F 3078F 3079F 3080F G0402 G0438 G0439 G0468 FQHC visit, IPPE, or AWV 1111F CPTWhat is the BMI for a 5'6" and 102 lbs male?If she weighed X pounds at Y height, her BMI was Z, and if I weighed Q pounds at R height, my BMI was S, and therefore I / she was thinner Perhaps I project;



Obesity Affects Brain Structure And Function Rescue By Bariatric Surgery Sciencedirect



Protective Effects Of Bee Bread On Testicular Oxidative Stress Nf Kb Mediated Inflammation Apoptosis And Lactate Transport Decline In Obese Male Rats Sciencedirect



Www Mdpi Com 72 6694 13 14 3592 Pdf



Body Mass Index And Hormone Receptor Status Influence Recurrence Risk In Her2 Positive Early Breast Cancer Patients Clinical Breast Cancer



2 Pack 43 56 Uf X 2 250 Vac Bmi 092a043b250ac1a Motor Start Capacitor Ebay



Ics 19 Abstract 466 Does Early Onset Of Exercise Training Postpartum Negatively Affect Pelvic Floor Muscle Function And Prevalence Of Pelvic Floor Dysfunction 12 Months Postpartum



Relationship Of Bmi And Physical Condition In Schools From 6 To 8 Years Of Age Tema Nauchnoj Stati Po Fundamentalnoj Medicine Chitajte Besplatno Tekst Nauchno Issledovatelskoj Raboty V Elektronnoj Biblioteke Kiberleninka



Differences Between Recumbent Length And Stature Measurement In Groups Of 2 And 3 Y Old Children And Its Relevance For The Use Of European Body Mass Index References International Journal Of Obesity



Www Pediatricnursing Org Article S08 5963 15 004 3 Pdf



Www Arcjournals Org Pdfs Ijhsse V7 I1 6 Pdf



Obese Related Effects Of Inflammatory Markers And Insulin Resistance On Increased Carotid Intima Media Thickness In Pre Pubertal Children Atherosclerosis



Longitudinal Follow Up To Near Final Height Of Auxological Changes In Girls With Idiopathic Central Precocious Puberty Treated With Gonadotropin Releasing Hormone Analog And Grouped By Pretreatment Body Mass Index Level



Body Mass Index Of Saudi Children Ages Six To 16 Years From The Eastern Province Annals Of Saudi Medicine



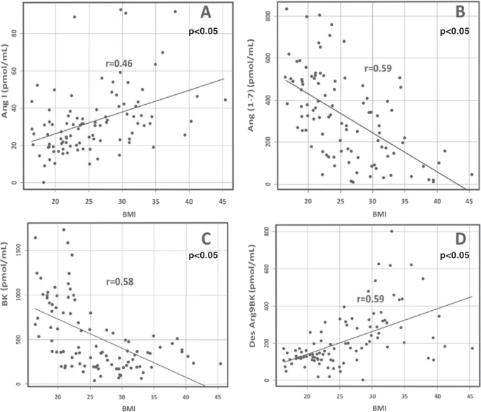
Association Of Ang 1 7 And Des Arg9bk As New Biomarkers Of Obesity And Cardiometabolic Risk Factors In Adolescents Hypertension Research



Relationship Between Free Testosterone Ft And Body Mass Index Bmi Download Scientific Diagram



Translational Medicine Biomedcentral Com Track Pdf 10 1186 S 019 9 Pdf



Achi Net Wp Content Uploads 04 Year 16 State Bmi Report Pdf



Impact Of Body Image Perception On Weight Status A Refuelling Of Non Communicable Disease In Urban South African Zulu Women Not Just Calipers Tapes And Scales Intechopen



What Is A Good Bmi And Should I Worry About It Openfit



From Kindergarten Through Second Grade U S Children S Obesity Prevalence Grows Only During Summer Vacations Von Hippel 16 Obesity Wiley Online Library



Cancers Free Full Text Correlation Of Body Mass Index With Oncologic Outcomes In Colorectal Cancer Patients A Large Population Based Study Html



What Is A Good Bmi And Should I Worry About It Openfit



Www Ahajournals Org Doi Pdf 10 1161 Jaha 119



Association And Interaction Analysis Of Body Mass Index And Triglycerides Level With Blood Pressure In Elderly Individuals In China



Prevalence Risk Factors And Consequences Of Overweight And Obesity Among Schoolchildren A Cross Sectional Study In Kashmir India



Duration Of Television Watching Is Associated With Increased Body Mass Index The Journal Of Pediatrics



Body Mass Index Reference Charts For Individuals With Down Syndrome Aged 2 18 Years Jornal De Pediatria



Academic Oup Com Ajh Article Pdf 24 12 1324 24 12 1324 Pdf



Association And Interaction Analysis Of Body Mass Index And Triglycerides Level With Blood Pressure In Elderly Individuals In China Document Gale Onefile Health And Medicine



Nomogram The Variables And The Scores Bmi Body Mass Index H Q Download Scientific Diagram



Association And Interaction Analysis Of Body Mass Index And Triglycerides Level With Blood Pressure In Elderly Individuals In China



Www Ahajournals Org Doi Pdf 10 1161 Jaha 119



Www Scielo Br J Jped A 8sbctdschmssdzgl7r8fbjr Lang En Format Pdf



Www Fscj Edu Docs Default Source Default Document Library Sample Exercise Facultyspotlight1 Pdf Sfvrsn Dbb4b2d5 0



Does High Body Mass Index Negatively Affect The Surgical Outcome And Long Term Survival Of Gastric Cancer Patients Who Underwent Gastrectomy A Systematic Review And Meta Analysis European Journal Of Surgical Oncology



Www Ahajournals Org Doi Pdf 10 1161 Jaha 119



Rstudio Pubs Static S3 Amazonaws Com 8c5dba75fc254ab9bacb353e03cb7ee6 Html



Association And Interaction Analysis Of Body Mass Index And Triglycerides Level With Blood Pressure In Elderly Individuals In China



Www Researchgate Net Profile Jose Casajus Publi



Body Mass Index Trajectories Of Indigenous Australian Children And Relation To Screen Time Diet And Demographic Factors Thurber 17 Obesity Wiley Online Library



2



Overweight And Obesity In 4 5 Year Old Children In New Zealand Results From The First 4 Years 09 12 Of The B4school Check Programme Rajput 15 Journal Of Paediatrics And Child Health Wiley Online Library



Cancers Free Full Text Correlation Of Body Mass Index With Oncologic Outcomes In Colorectal Cancer Patients A Large Population Based Study Html



What Is A Good Bmi And Should I Worry About It Openfit



Nomogram The Variables And The Scores Bmi Body Mass Index H Q Download Scientific Diagram



Www Nature Com Articles S 0 X Pdf Origin Ppub



2



Sports Injuries In Club Based Adolescent Male Players A Cross Sectional Study Journal Of Current Medical Research And Opinion



Onlinelibrary Wiley Com Doi Pdf 10 1002 Oby 217



Cancers Free Full Text Correlation Of Body Mass Index With Oncologic Outcomes In Colorectal Cancer Patients A Large Population Based Study Html



Www Scielo Br J Jped A 8sbctdschmssdzgl7r8fbjr Format Pdf Lang En



Association And Interaction Analysis Of Body Mass Index And Triglycerides Level With Blood Pressure In Elderly Individuals In China



Impact Of Android Overweight Or Obesity And Insulin Resistance On Basal And Postprandial Sr Bi And Abca1 Mediated Serum Cholesterol Efflux Capacities Atherosclerosis



Www Cureus Com Articles 447 Body Mass Index And Inguinal Hernia An Observational Study Focusing On The Association Of Inguinal Hernia With Body Mass Index Pdf



2



Achi Net Wp Content Uploads 04 Year 16 State Bmi Report Pdf



Www Nature Com Articles Ejcn108 Pdf Origin Ppub



Body Mass Index Trajectories Of Indigenous Australian Children And Relation To Screen Time Diet And Demographic Factors Topic Of Research Paper In Health Sciences Download Scholarly Article Pdf And Read For



Www Nature Com Articles Ejcn108 Pdf Origin Ppub



Apem Annals Of Pediatric Endocrinology Metabolism



Www Nature Com Articles S 021 0 Pdf Proof T



Impact Of Immigration On Body Mass Index And Blood Pressure Among Adolescent Males And Females Hypertension



Impact Of Body Image Perception On Weight Status A Refuelling Of Non Communicable Disease In Urban South African Zulu Women Not Just Calipers Tapes And Scales Intechopen



Body Mass Index Of Saudi Children Ages Six To 16 Years From The Eastern Province Annals Of Saudi Medicine



Obesity In America Springerlink



Does High Body Mass Index Negatively Affect The Surgical Outcome And Long Term Survival Of Gastric Cancer Patients Who Underwent Gastrectomy A Systematic Review And Meta Analysis Sciencedirect



Does High Body Mass Index Negatively Affect The Surgical Outcome And Long Term Survival Of Gastric Cancer Patients Who Underwent Gastrectomy A Systematic Review And Meta Analysis European Journal Of Surgical Oncology



Left Ventricular Mass Index And Ventricular Contractility Improvement In Patients With Severe Obesity Following Rapid Weight Loss After Bariatric Surgery Sciencedirect


0 件のコメント:
コメントを投稿